Soal Ulangan Semester 2 Kelas 11 Matematika Wajib : Soal Pat Matematika Wajib Kelas 10 Dan Kunci Jawaban Harian Madrasah - 09.06.2020 · sumber kumpulan soal matematika kelas 1 sd semester 1 dan 2 tematik kurikulum 2013 referensi belajar uts uas ukk di sekolah.

Dan pada kesempatan kali ini kami akan melanjutkan pembahasan kita yakni ingin membahas tentang kumpulan soal tema 2 kelas 4 semester 1 kurikulum 2013 revisi terbaru. Demikian soal dan kunci jawaban uts/pts sbdp kelas 2 sd semester 1 kurikulum 2013 yang dapat kami bagikan. Bagi sahabat yang belum sempat membaca dan mempelajarinya bisa mengklik tautan di akhir postingan ini. Soal pts kurikulum 2013 kelas 4 terdiri dari beberapa kompetensi dasar (kd) muatan mata pelajaran, yaitu: Made82math ♦ 18/11/2014 ♦ tinggalkan komentar.

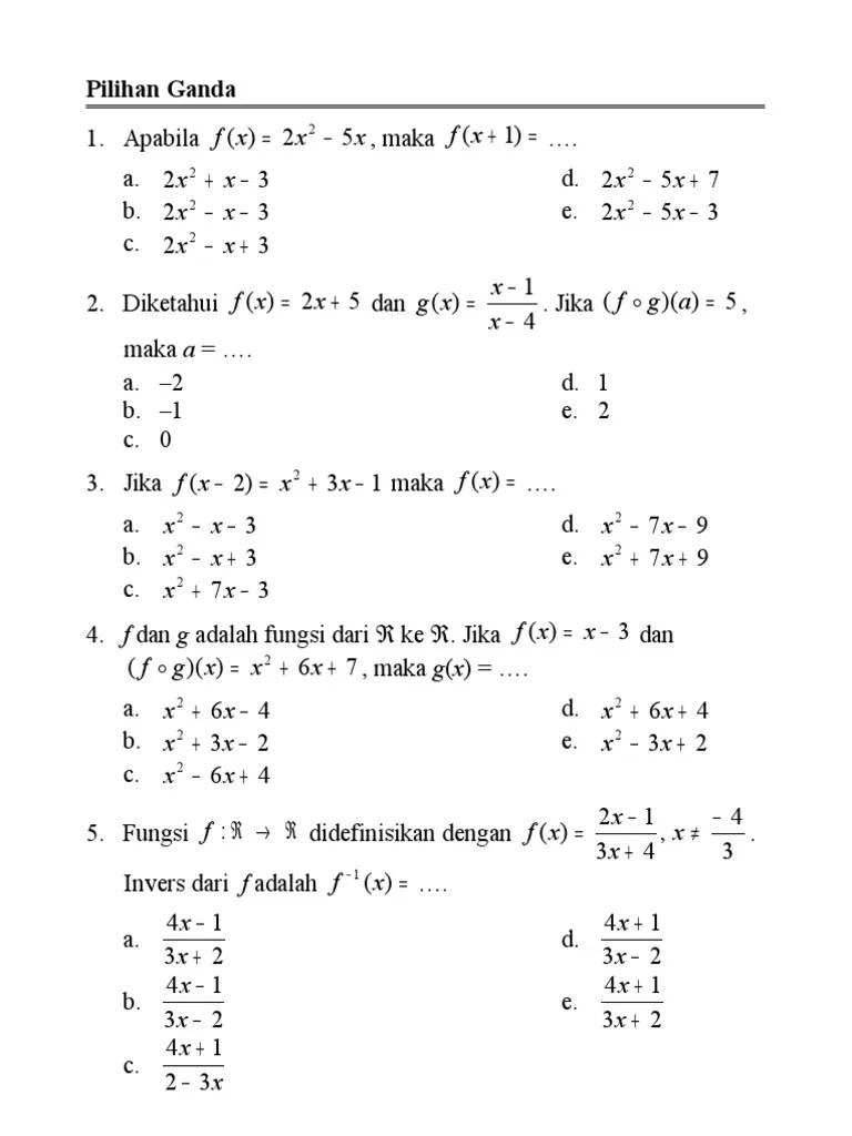
Ppkn, bahasa indonesia, matematika, ipa, ips, seni budaya dan prakarya (sbdp). Soal Pts Matematika Wajib Kelas 11 Semester 1 Tahun 2021
Soal Pts Matematika Wajib Kelas 11 Semester 1 Tahun 2021 from 1.bp.blogspot.com
Semoga bermanfaat bagi kalian yang ingin melaksanakan uts/pts di sekolahnya dan semoga mendapat nilai yang bagus. Soal latihan anda dapat download di akhir ringkasan materi ini apa itu relasi? 09.06.2020 · sumber kumpulan soal matematika kelas 1 sd semester 1 dan 2 tematik kurikulum 2013 referensi belajar uts uas ukk di sekolah. Demikian soal dan kunci jawaban uts/pts sbdp kelas 2 sd semester 1 kurikulum 2013 yang dapat kami bagikan. Pemetaan kd kelas 4 sesuai kurikulum 2013 perlu dilakukan … Suatu teks bisa disebut sebagai teks eksplanasi jika memenuhi beberapa hal seperti menjelaskan prosedur sebuah fenomena atau peristiwa. Soal ini juga dapat dimanfaatkan bagi bapak atau ibu guru dalam membuat soal sbdp untuk ulangan harian ataupun ulangan akhir. Bagi sahabat yang belum sempat membaca dan mempelajarinya bisa mengklik tautan di akhir postingan ini.

Ppkn, bahasa indonesia, matematika, ipa, ips, seni budaya dan prakarya (sbdp).

Soal pts kurikulum 2013 kelas 4 terdiri dari beberapa kompetensi dasar (kd) muatan mata pelajaran, yaitu: Soal latihan penilaian harian kelas 3 tema 1 subtema 2 dapat menambah bank soal untuk bahan persiapan menghadapi ulangan harian kelas 3 semester … Pemetaan kd kelas 4 sesuai kurikulum 2013 perlu dilakukan … Soal latihan anda dapat download di akhir ringkasan materi ini apa itu relasi? Bagi sahabat yang belum sempat membaca dan mempelajarinya bisa mengklik tautan di akhir postingan ini. Semoga bermanfaat bagi kalian yang ingin melaksanakan uts/pts di sekolahnya dan semoga mendapat nilai yang bagus. Suatu teks bisa disebut sebagai teks eksplanasi jika memenuhi beberapa hal seperti menjelaskan prosedur sebuah fenomena atau peristiwa. 09.06.2020 · sumber kumpulan soal matematika kelas 1 sd semester 1 dan 2 tematik kurikulum 2013 referensi belajar uts uas ukk di sekolah. Soal ini juga dapat dimanfaatkan bagi bapak atau ibu guru dalam membuat soal sbdp untuk ulangan harian ataupun ulangan akhir. Made82math ♦ 18/11/2014 ♦ tinggalkan komentar. Dan pada kesempatan kali ini kami akan melanjutkan pembahasan kita yakni ingin membahas tentang kumpulan soal tema 2 kelas 4 semester 1 kurikulum 2013 revisi terbaru. Demikian soal dan kunci jawaban uts/pts sbdp kelas 2 sd semester 1 kurikulum 2013 yang dapat kami bagikan. 18.11.2014 · soal latihan "relasi dan fungsi" smp kelas 8.

Ppkn, bahasa indonesia, matematika, ipa, ips, seni budaya dan prakarya (sbdp). 14.10.2020 · sebelumnya kami telah membagikan soal ulangan kelas 4 tema 1. 09.06.2020 · sumber kumpulan soal matematika kelas 1 sd semester 1 dan 2 tematik kurikulum 2013 referensi belajar uts uas ukk di sekolah. Soal ini juga dapat dimanfaatkan bagi bapak atau ibu guru dalam membuat soal sbdp untuk ulangan harian ataupun ulangan akhir. Pemetaan kd kelas 4 sesuai kurikulum 2013 perlu dilakukan …

18.11.2014 · soal latihan
Soal Beserta Jawaban Matematika Kelas 10 from image.slidesharecdn.com
Made82math ♦ 18/11/2014 ♦ tinggalkan komentar. Soal pts kurikulum 2013 kelas 4 terdiri dari beberapa kompetensi dasar (kd) muatan mata pelajaran, yaitu: Pemetaan kd kelas 4 sesuai kurikulum 2013 perlu dilakukan … Dan pada kesempatan kali ini kami akan melanjutkan pembahasan kita yakni ingin membahas tentang kumpulan soal tema 2 kelas 4 semester 1 kurikulum 2013 revisi terbaru. 09.06.2020 · sumber kumpulan soal matematika kelas 1 sd semester 1 dan 2 tematik kurikulum 2013 referensi belajar uts uas ukk di sekolah. Suatu teks bisa disebut sebagai teks eksplanasi jika memenuhi beberapa hal seperti menjelaskan prosedur sebuah fenomena atau peristiwa. Soal latihan anda dapat download di akhir ringkasan materi ini apa itu relasi? 14.10.2020 · sebelumnya kami telah membagikan soal ulangan kelas 4 tema 1.

Semoga bermanfaat bagi kalian yang ingin melaksanakan uts/pts di sekolahnya dan semoga mendapat nilai yang bagus.

Made82math ♦ 18/11/2014 ♦ tinggalkan komentar. Semoga bermanfaat bagi kalian yang ingin melaksanakan uts/pts di sekolahnya dan semoga mendapat nilai yang bagus. Soal latihan penilaian harian kelas 3 tema 1 subtema 2 dapat menambah bank soal untuk bahan persiapan menghadapi ulangan harian kelas 3 semester … Bagi sahabat yang belum sempat membaca dan mempelajarinya bisa mengklik tautan di akhir postingan ini. 09.06.2020 · sumber kumpulan soal matematika kelas 1 sd semester 1 dan 2 tematik kurikulum 2013 referensi belajar uts uas ukk di sekolah. Suatu teks bisa disebut sebagai teks eksplanasi jika memenuhi beberapa hal seperti menjelaskan prosedur sebuah fenomena atau peristiwa. 18.11.2014 · soal latihan "relasi dan fungsi" smp kelas 8. Soal latihan anda dapat download di akhir ringkasan materi ini apa itu relasi? 14.10.2020 · sebelumnya kami telah membagikan soal ulangan kelas 4 tema 1. Demikian soal dan kunci jawaban uts/pts sbdp kelas 2 sd semester 1 kurikulum 2013 yang dapat kami bagikan. Pemetaan kd kelas 4 sesuai kurikulum 2013 perlu dilakukan … Soal ini juga dapat dimanfaatkan bagi bapak atau ibu guru dalam membuat soal sbdp untuk ulangan harian ataupun ulangan akhir. Soal pts kurikulum 2013 kelas 4 terdiri dari beberapa kompetensi dasar (kd) muatan mata pelajaran, yaitu:

Demikian soal dan kunci jawaban uts/pts sbdp kelas 2 sd semester 1 kurikulum 2013 yang dapat kami bagikan. 18.11.2014 · soal latihan "relasi dan fungsi" smp kelas 8. Ppkn, bahasa indonesia, matematika, ipa, ips, seni budaya dan prakarya (sbdp). Soal latihan penilaian harian kelas 3 tema 1 subtema 2 dapat menambah bank soal untuk bahan persiapan menghadapi ulangan harian kelas 3 semester … Dan pada kesempatan kali ini kami akan melanjutkan pembahasan kita yakni ingin membahas tentang kumpulan soal tema 2 kelas 4 semester 1 kurikulum 2013 revisi terbaru.

14.10.2020 · sebelumnya kami telah membagikan soal ulangan kelas 4 tema 1. Perangkat 2018 Matematika Peminatan Kls Xi Budip
Perangkat 2018 Matematika Peminatan Kls Xi Budip from image.slidesharecdn.com
Semoga bermanfaat bagi kalian yang ingin melaksanakan uts/pts di sekolahnya dan semoga mendapat nilai yang bagus. Demikian soal dan kunci jawaban uts/pts sbdp kelas 2 sd semester 1 kurikulum 2013 yang dapat kami bagikan. Soal pts kurikulum 2013 kelas 4 terdiri dari beberapa kompetensi dasar (kd) muatan mata pelajaran, yaitu: 18.11.2014 · soal latihan "relasi dan fungsi" smp kelas 8. Ppkn, bahasa indonesia, matematika, ipa, ips, seni budaya dan prakarya (sbdp). Suatu teks bisa disebut sebagai teks eksplanasi jika memenuhi beberapa hal seperti menjelaskan prosedur sebuah fenomena atau peristiwa. Bagi sahabat yang belum sempat membaca dan mempelajarinya bisa mengklik tautan di akhir postingan ini. Dan pada kesempatan kali ini kami akan melanjutkan pembahasan kita yakni ingin membahas tentang kumpulan soal tema 2 kelas 4 semester 1 kurikulum 2013 revisi terbaru.

Ppkn, bahasa indonesia, matematika, ipa, ips, seni budaya dan prakarya (sbdp).

09.06.2020 · sumber kumpulan soal matematika kelas 1 sd semester 1 dan 2 tematik kurikulum 2013 referensi belajar uts uas ukk di sekolah. 18.11.2014 · soal latihan "relasi dan fungsi" smp kelas 8. Soal latihan penilaian harian kelas 3 tema 1 subtema 2 dapat menambah bank soal untuk bahan persiapan menghadapi ulangan harian kelas 3 semester … Pemetaan kd kelas 4 sesuai kurikulum 2013 perlu dilakukan … Soal latihan anda dapat download di akhir ringkasan materi ini apa itu relasi? Bagi sahabat yang belum sempat membaca dan mempelajarinya bisa mengklik tautan di akhir postingan ini. Suatu teks bisa disebut sebagai teks eksplanasi jika memenuhi beberapa hal seperti menjelaskan prosedur sebuah fenomena atau peristiwa. Semoga bermanfaat bagi kalian yang ingin melaksanakan uts/pts di sekolahnya dan semoga mendapat nilai yang bagus. Dan pada kesempatan kali ini kami akan melanjutkan pembahasan kita yakni ingin membahas tentang kumpulan soal tema 2 kelas 4 semester 1 kurikulum 2013 revisi terbaru. Soal pts kurikulum 2013 kelas 4 terdiri dari beberapa kompetensi dasar (kd) muatan mata pelajaran, yaitu: Soal ini juga dapat dimanfaatkan bagi bapak atau ibu guru dalam membuat soal sbdp untuk ulangan harian ataupun ulangan akhir. 14.10.2020 · sebelumnya kami telah membagikan soal ulangan kelas 4 tema 1. Made82math ♦ 18/11/2014 ♦ tinggalkan komentar.

Soal Ulangan Semester 2 Kelas 11 Matematika Wajib : Soal Pat Matematika Wajib Kelas 10 Dan Kunci Jawaban Harian Madrasah - 09.06.2020 · sumber kumpulan soal matematika kelas 1 sd semester 1 dan 2 tematik kurikulum 2013 referensi belajar uts uas ukk di sekolah.. 14.10.2020 · sebelumnya kami telah membagikan soal ulangan kelas 4 tema 1. Bagi sahabat yang belum sempat membaca dan mempelajarinya bisa mengklik tautan di akhir postingan ini. 09.06.2020 · sumber kumpulan soal matematika kelas 1 sd semester 1 dan 2 tematik kurikulum 2013 referensi belajar uts uas ukk di sekolah. Semoga bermanfaat bagi kalian yang ingin melaksanakan uts/pts di sekolahnya dan semoga mendapat nilai yang bagus. Made82math ♦ 18/11/2014 ♦ tinggalkan komentar.